消防改造
消防維保
主機維修
聯系我們
- 聯系人:郭經理
- 傳真:010-69552656
- 電話:400-0346-119
- 電話:010-57113119
- 郵箱:506665119@qq.com
- 地址:北京通州區新華北路117號
機房氣體滅火系統解決方案
來源:氣體滅火維保 時間:2019-07-08 15:02:57
1、系統簡介
無管網自動滅火裝置是氣體滅火技術應用之一,具有輕便、可移動、安裝靈活的特點,外表美觀,不破壞防護區內的整潔,火災時能自動啟動噴放滅火劑的滅火裝置。噴射時間短,滅火速度快。啟動方式為自動控制、手動電氣控制二種。自動控制、手動電氣控制可進行切換。一般情況下應使用手動控制,在保護區無人的情況下可以轉換為自動控制。當自動控制和手動電氣控制不能執行時,應采用機械應急手動控制。

防護區單瓶組安裝示意圖

防護區雙瓶組安裝示意圖
系統具有自動和手動啟動兩種方式。
自動啟動方式:
氣體滅火報警控制系統一般配有兩種不同類型的火災探測器。控制主機上有“自動”和“手動”轉換功能(也可在防護區外單獨設置轉換開關),當將其置于“自動”位置時,滅火裝置處于自動狀態。
當只有一種探測器發出火災信號時,控制主機啟動警鈴或聲光報警器,通知火災發生,但并不啟動滅火裝置。
當兩種探測器發出火災信號時,控制主機啟動警鈴和聲光報警器,聯動關閉防護區開口,進入滅火啟動延時,達到設定的延時時間后,自動啟動滅火裝置。
如在噴放延時過程中發現不需要啟動滅火裝置,可按下防護區外或控制器上的“緊急停止”按鈕,終止滅火指令。
手動啟動方式
當轉換開關置于“手動”位置時,滅火裝置處于手動狀態。
在該狀態下,探測器發出火災信號,控制主機啟動警鈴和聲光報警器,通知火災發生,但并不啟動滅火裝置。此時按下防護區外或控制器上的“手動啟動”或“緊急啟動”按鈕,可以啟動滅火裝置。
注意:無論控制主機處于自動或手動狀態,按下“緊急啟動”和“手動啟動”按鈕,都可啟動滅火裝置。
柜式滅火裝置不用設置專用的儲瓶間,整個柜體設置在防護區內,適用于計算機房、檔案館、貴重物品庫、通訊機房等空間較小的防護區,幾臺柜式裝置聯用也可以保護較大的防護區。當建筑物內無法設置專用的儲瓶間,或雖然有儲存間,但輸送距離較遠,不能滿足工程設計要求,或防護區內不便安裝系統管網時,可使用本裝置。
2、設計方案
省監獄管理局機房面積52平方米,房間高度3.6米。根據GB50370-2005《氣體滅火系統設計規范》設計濃度為8%。
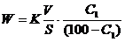
藥劑用量計算公式:
計算公式:
其中:
W —— 滅火設計用量或惰化設計用量(kg)
K —— 海拔高度修正系數
V —— 防護區的凈容積(m³)
S —— 滅火劑過熱蒸汽在101KPa大氣壓和防護區低環境溫度下的比容(m³/kg),按公式計算:S=0.1269+0.000513·T,T為防護區內低環境溫度(℃)
C1 —— 滅火設計濃度或惰化設計濃度(%),按表A中的規定取值
泄壓面積計算公式:
計算公式:
其中:
—— 泄壓口面積(m²)
—— 滅火劑在防護區的平均噴放速率(Kg/s)
根據計算結果如下:
根據計算,選擇2套GQQ90-PL裝置,每套裝置充裝藥劑60公斤。
3、氣體滅火自動報警及聯動控制系統施工方案
3.1 火災自動報警系統的安裝
3.1.1 管線敷設
(1)火災自動報警系統的布線,應符合現行標準《電氣裝置工程施工及驗收規范》的規定。
(2)核實導線的種類,電壓等級等參數必須滿足設計要求。
(3)在管內或線槽內的穿線,應在建筑抹灰及地工程結束后進行。在穿線前,應將管內或線槽內的積水及雜物消除干凈。
(4)不同系統、不同電壓等級、不同電流類別的線路,不應穿在同一管內或線槽的同一槽孔內。
(5)導線在管內或線槽內,不應有接頭或扭結。導線的接頭,應在接線盒內焊接或用端子連接。
(6)敷設在多塵或潮濕場所管路的管口和管子連接處,均應作密封處理。
(7)管路超過下列長度時,應在便于接線處裝設接線盒:
無彎曲時,管子長度每超過45m; 一個彎曲,管子長度每超過30m; 有2個彎曲,管子長度每超過20m; 有3個彎曲,管子長度每超過12m。
(8)管子入盒時,盒外側應套鎖母,內側應裝護口。在吊頂內敷設時,盒的內外側均套鎖母。
(9)在吊頂內敷設各類管路和線槽時,宜采用單獨的卡具吊裝或支撐物固定。
(10)線槽的直線段應每隔1.0~1.5 m設置吊點或支點,在下列部位也應設置吊點或支點:線槽接頭處,距接線盒0.2m處,線槽走向改變或轉角口處。
(11)吊裝線槽的吊桿直徑,不應小于6mm。
(12)管線經過建筑物的變形縫(包括沉降縫、伸縮縫、抗震縫等)處,應采取補償措施,導線跨越變形縫的兩側應固定,并留有適當余量。
(13)火災自動報警系統導線敷設后,應對每回路的導線用500V兆歐表測量絕緣電阻,其對地絕緣電阻值不應小于20MΩ。
3.1.2 火災探測器的安裝
(1)點型火災探測器的安裝位置,應符合下列規定:
a.探測器至墻壁、梁邊的水平距離,不應小于0.5m。
b.探測器周圍0.5m內,不應有遮擋物.
c.探測器至空調逆風口邊的水平距離,不應小于1.5m,至多孔送風頂棚孔口的水平距離,不應小于0.5m。
d.在寬度小于3m的內走道頂棚上設置探測器時,宜居中布置。感溫探測器的安裝間距,不應超過15m。探測器距端墻的距離,不應大于探測器安裝間距的一半。
e.探測器宜水平安裝,當必須傾斜安裝時,傾斜角不應大于45°。
(2)線型火災探測器和可燃氣體探測器等有特殊安裝要求有探測器,應符合現行有關標準的規定。
(3)探測器的底座應固定牢靠,其導線連接必須可靠壓接或焊接。當采用焊接時,不得使用帶腐蝕性的助焊劑。
(4)探測器的“十”線應為紅色,“一”線應為藍色,其余線應根據不同用途采用其它顏色區分。但同一工程中相同用途的導線顏色應一致。
(5)探測器底座的外接導線,應留有不小于15cm的余量,入端處應有明顯標志。
(6)探測器底座的穿線孔宜封堵,安裝完畢后的探測器底座應采取保護措施。
(7)探測器的確認燈,應面向便于人員觀察的主要入口方向。
(8)探測器應在即將調試時方可安裝,在安裝前應妥善保管,并應采取防塵、防潮、防腐蝕措施。
3.1.3緊急啟停按鈕的安裝
(1) 緊急啟停按鈕,應安裝在墻上距地面高度1.5m 處。
(2) 緊急啟停按鈕應安裝牢固,并不得傾斜,外接導線,應留有不小于10cm的余量,且在其端部應有明顯標志。
3.1.4 火災報警控制器的安裝
(1)火災報警控制器(以下簡稱控制器)在墻上安裝時,其底邊距地(樓)面高度不應小于1.5m。
(2)控制器應安裝牢固,不得傾斜。安裝在輕質墻上時,應采取加固措施。
(3)引入控制器的電纜或導線,應符合下列要求:
a.配線應整齊,避免交叉,并應固定牢靠。
b.電纜芯線或所配導線的端部,均應標明編號,并與圖紙一致,字跡清晰難退色。
c.端子板的每個接線端,接線不得超過2根。
d.電纜芯和導線,應留有不小于20cm的余量。
e.導線應綁扎成束。
f.導線引入線穿線后,在進線管處應封堵。
(4)控制器的主電源引入線,應直接與消防電源連接,嚴禁使用電源插頭,主電源應有明顯標志。
(5)控制器的接地,應牢固,并有明顯標志。
3.1.5消防控制設備的安裝
(1)消防控制設備在安裝前,應進行功能檢查,不合格者,不得安裝。
(2)消防控制設備的外接導線,當采用金屬軟管作套管時,其長度不宜大于2m,且應采用管卡固定,其固定點間距不應大于0.5m。金屬軟管與消防控制設備的接線盒(箱),應采用鎖母固定,并應根據配管規定接地。
(3)消防控制設備外接導線的端部,應有明顯標志。
(4)消防控制柜內不同電壓等級,不同電流類別的端子,應分開,并有明顯標志。
3.1.6 聲光報警、放氣指示燈安裝
聲光報警器、放氣指示燈,防護區疏散出口的門楣上方,安裝應符合設計要求,并應安裝牢固,不得傾斜。
3.2 火災自動報警系統的調試
3.2.1 一般規定
(1)火災自動報警系統的調試,應在建筑內部裝修和系統施工結束后進行。
(2)火災自動報警系統調試前應具備前面所列文件和調試必需的其它文件。
(3)調試負責人必須由有資格的專業技術人員擔任,所有參加調試人員應職責明確,并應按照調試程序工作。
(4)調試前應按設計要求查驗設備的規格、型號、數量、備器備件等,應按規范和設計的規定要求檢查系統的施工質量。檢查系統線路,對于錯線、開路、虛焊和短路等進行處理。
(5)火災自動報警系統調試,應先分別對探測器、區域報警控制器、集中報警控制器、火災報警裝置和消防控制設備等逐個進行單機通電檢查,符合要求后方可進行系統調試。
(6)火災自動報警系統通電后,應按標準《火災報警控制器通用技術條件》的有關要求對報警控制器進行下列功能檢查:
火災報警自檢功能;消音、復位功能;故障報警功能;火災優先功能;報警記憶功能;電源自動轉換和備用電源的自動充電功能;備用電源的欠壓和過壓報警功能。
(7)檢查火災自動報警系統的主電源和備用電源,在備用電源連續充放電3次后,主電源和備用電源應能自動轉換。
(8)應采用專用的檢查儀器對探測器逐個進行試驗,其功能應準確無誤。
(9)應分別用主電源和備用電源供電,檢查火災報警系統各項控制和聯動功能。
(10)火災自動報警系統應在連續運行120h無故障后,按規范附錄填寫調試報告。
3.2.2 線路測試
(1)一般性檢查
首先從外部檢查。這項工作是用眼觀察各種配線情況,對照圖紙檢查配線關系,判斷接線是否正確。
(2)線路檢驗
線路校驗前,應將被校驗回路中的探測器、編碼底座、警報器、手動報警按鈕和報警控制器等的接線端子打開。
查校回路,可用萬用表或蜂鳴器等。
檢查完火災報警系統的線路后,再核對自動滅火聯動控制盤的二次線路。
在檢查系統線路中發現的錯線、開路、虛焊和短路等應進行故障拔除。
(3)絕緣電阻測試
火災報警傳輸線路和聯動控制線路進行上述檢查后,應對其紅外線電阻進行測試。
3.2.3調試記錄
(1)系統開通調試中發現的故障應及時排除,并作好記錄。
(2)系統開通后,應正常開機運行,并作相應的記錄。
(3)做好各項資料的填寫工作,字跡端正、清晰、無空格。
(4)由甲方、施工方進行用戶驗收,填好用戶驗收記錄。
(5)對用戶進行操作和使用的現場培訓。
(6)調試結束后交付甲方使用。
(7)作好回訪工作,每查訪二次,填好回訪的質量信息返回表。
4、柜式七氟丙烷滅火裝置施工方案
4.1本系統的安裝場所應符合下列要求:
(1) 環境溫度為0℃~50℃,且干燥、通風良好;
(2) 空氣中不得含有易爆、導電塵埃及腐蝕部件的有害物質,否則必須予以保護,裝置不得受到震動和沖擊;
(3) 整個柜體必須能安裝平穩,不允許傾斜;
(4) 防護區滅火時應保持封閉條件,除泄壓口以外的開口,以及用于該防護區的通風機和通風管道中的防火閥,在噴放七氟丙烷之前,應做到關閉;
(5) 當設有外開彈性閉門器或彈簧門時,如果其開口面積不小于泄壓口計算面積,不須另設泄壓口。
(6) 安裝在防護區里的位置應選擇能避免接近熱源和太陽光直接照射的地方,并靠近墻體安裝。噴嘴的噴射方向應朝防護區。
4.2 柜式七氟丙烷裝置安裝
4.2.1將柜體放置在防護區氣體滅火設計圖紙所標識位置,建議盡量使柜體背部安裝在防護區靠墻或靠柱位置,單臺時應將噴嘴位基本對準重點保護設備,多臺時應均勻分布,并保證柜體平穩無晃動和傾斜。
4.2.2將滅火劑儲瓶搬進柜子中央,正面(噴字面)向外,并用儲瓶抱箍和七字鉤固定在柜體上,注意不要壓壞柜體。若是雙瓶組,將主動儲瓶用儲瓶抱箍固定在柜內右邊,然后在左邊固定好從動儲瓶。
4.2.3將噴嘴安裝在柜體上部噴嘴孔,噴射方向朝柜外,內部用緊固螺母固定在柜體上。
4.2.4高壓軟管帶彎頭側接頭連接在容器閥滅火劑出口螺紋上,扳手擰緊。另一側連接在噴嘴末端螺紋上,扳手擰緊。
4.2.5壓力信號器調試好后安裝在高壓軟管相應接口上,扳手擰緊。
4.2.6壓力表安裝在容器閥壓力表接口上,扳手擰緊。
4.2.7將電磁驅動器安裝在儲瓶容器閥上(應在確保調試完畢后安裝)。若是雙瓶組,將電磁驅動器安裝在主動儲瓶容器閥上,氣動驅動器安裝在從動儲瓶容器閥上。
4.2.8安裝雙瓶組啟動管路。若兩瓶組距離有偏差會導致該部件安裝不上,此時需微調兩瓶組的位置。(單瓶組無此操作)
4.2.9將壓力信號器及電磁驅動器的線路從柜體后預留穿線孔穿出,并與報警滅火控制器接通。注意使用防護套管,以免損壞線路。
4.2.10檢查各個安裝連接部位,必須保證固定牢靠,管路連接密封良好,線路連接無誤。至此,整套七氟丙烷滅火裝置安裝完畢。
4.3 系統調試
4.3.1電磁驅動器啟動試驗:拔出電磁驅動器保險銷,接通電源(DC24V),試驗電磁鐵聯動閘刀是否動作。若正常,拆除電源,閘刀及電磁驅動器保險銷應復位。
切記:調試電磁驅動器應離開瓶頭閥單獨進行。
4.3.2儲存壓力檢查:逆時針旋開壓力表后面螺母(45°~ 90°)至壓力表顯示(測壓通道打開),指針在綠區為正常。檢測完畢后,旋緊螺母(關閉測壓通道)。
4.3.3反饋信號模擬:短接壓力信號器的兩條引線模擬噴放反饋信號。
4.3.4火災自動報警滅火控制器調試:分別進行自動、手動、緊急啟動/停止。動作、聲光報警和信號等應符合GB50263-2007《氣體滅火系統施工及驗收規范》要求。
4.3.5調試合格后,將電磁驅動器小心的安裝在滅火劑容器閥上,壓力信號器安裝在高壓軟管相應接口上,與信號反饋線連接。
4.3.6待消防部門驗收合格、使用單位人員培訓到位后,才可接通電磁驅動器的啟動線路,拔掉電磁驅動器保險銷,系統開始正式運行。
4.4注意事項
4.4.1 滅火劑瓶在運輸過程中,應輕裝輕卸,防止碰撞、倒置,整個裝置應避免接近熱.源,避免太陽光直接照射。
4.4.2拆裝過程中應避免碰傷表面而影響外觀,無關人員不得亂動本裝置,以免發生意外。
4.4.3柜式系統噴射滅火劑前,所有人員必須在延時期內撤離火情現場,滅火完畢后,必須首先啟動風機,將廢氣排出后,工作人員方可進入現場。
4.4.5更換新的膜片必須由我公司供應,不得隨意用未經試驗的膜片代用。
(5) 在日常維護、保養或進行周期檢查時應嚴格按照操作程序,確保防止滅火劑誤噴。
4.5培訓
組織甲方消防值班人員進行上崗前的培訓工作,主要說明各個系統的設置位置、主要設備的工作原理、緊急情況的應對方案和主機柜的操作等常識.
4.6移交
驗收通過,培訓完畢,與甲方相關負責人進行工程的交接,主要竣工資料和工程設備的交接,請甲方簽署工程驗收交接單.
4.7系統維護保養
a. 對防護分區環境的維護保養:
* 檢查保護區必要的出入通道應通暢無阻;各種報警信號和安全標志應清潔、齊全并醒目易見;采光照明和事故照明應完好。
*檢查煙感、溫感探測器外表面應清潔、無灰塵和環境污染(例如輕質粉塵、漆等),以 保證其靈敏度;檢查噴嘴孔口應無堵塞。
b.對滅火劑貯存容器的維護保養:
每年對滅火劑貯存容器進行稱重或檢查貯存壓力,若低于允許值極限位置以下,必須予以重新灌裝或替代。
c. 對滅火控制盤的維護保養:
* 電源、指示燈的可靠程度檢查;
* 滅火控制盤的啟動試驗的工作情況是否正常。
d. 對系統的維護保養:
* 檢查電磁閥與控制閥的連接導線是否完好,端子有否松動或脫落。
* 從鋼瓶上卸下電磁閥,檢查其動作是否靈活。
* 卸下報警及控制系統與執行機構的連接裝置,用模擬試驗方法,檢查自動控制、報警及延時功能的靈敏度和動作可靠性。
* 檢查噴嘴與管道的連接有無松動、脫落
* 檢查所有鋼瓶外表有無腐蝕和鍍層脫落現象。
* 卸下壓力開關檢查其動作是否準確靈活。
無管網自動滅火裝置是氣體滅火技術應用之一,具有輕便、可移動、安裝靈活的特點,外表美觀,不破壞防護區內的整潔,火災時能自動啟動噴放滅火劑的滅火裝置。噴射時間短,滅火速度快。啟動方式為自動控制、手動電氣控制二種。自動控制、手動電氣控制可進行切換。一般情況下應使用手動控制,在保護區無人的情況下可以轉換為自動控制。當自動控制和手動電氣控制不能執行時,應采用機械應急手動控制。

防護區單瓶組安裝示意圖

防護區雙瓶組安裝示意圖
系統具有自動和手動啟動兩種方式。
自動啟動方式:
氣體滅火報警控制系統一般配有兩種不同類型的火災探測器。控制主機上有“自動”和“手動”轉換功能(也可在防護區外單獨設置轉換開關),當將其置于“自動”位置時,滅火裝置處于自動狀態。
當只有一種探測器發出火災信號時,控制主機啟動警鈴或聲光報警器,通知火災發生,但并不啟動滅火裝置。
當兩種探測器發出火災信號時,控制主機啟動警鈴和聲光報警器,聯動關閉防護區開口,進入滅火啟動延時,達到設定的延時時間后,自動啟動滅火裝置。
如在噴放延時過程中發現不需要啟動滅火裝置,可按下防護區外或控制器上的“緊急停止”按鈕,終止滅火指令。
手動啟動方式
當轉換開關置于“手動”位置時,滅火裝置處于手動狀態。
在該狀態下,探測器發出火災信號,控制主機啟動警鈴和聲光報警器,通知火災發生,但并不啟動滅火裝置。此時按下防護區外或控制器上的“手動啟動”或“緊急啟動”按鈕,可以啟動滅火裝置。
注意:無論控制主機處于自動或手動狀態,按下“緊急啟動”和“手動啟動”按鈕,都可啟動滅火裝置。
柜式滅火裝置不用設置專用的儲瓶間,整個柜體設置在防護區內,適用于計算機房、檔案館、貴重物品庫、通訊機房等空間較小的防護區,幾臺柜式裝置聯用也可以保護較大的防護區。當建筑物內無法設置專用的儲瓶間,或雖然有儲存間,但輸送距離較遠,不能滿足工程設計要求,或防護區內不便安裝系統管網時,可使用本裝置。
2、設計方案
省監獄管理局機房面積52平方米,房間高度3.6米。根據GB50370-2005《氣體滅火系統設計規范》設計濃度為8%。
藥劑用量計算公式:
計算公式:

其中:
W —— 滅火設計用量或惰化設計用量(kg)
K —— 海拔高度修正系數
V —— 防護區的凈容積(m³)
S —— 滅火劑過熱蒸汽在101KPa大氣壓和防護區低環境溫度下的比容(m³/kg),按公式計算:S=0.1269+0.000513·T,T為防護區內低環境溫度(℃)
C1 —— 滅火設計濃度或惰化設計濃度(%),按表A中的規定取值
泄壓面積計算公式:
計算公式:

其中:
—— 泄壓口面積(m²)
—— 滅火劑在防護區的平均噴放速率(Kg/s)根據計算結果如下:
| 防護區名稱 | 面積 S(㎡) |
高度 H(m) |
容積 V(m³) |
設計 濃度 |
設計用 量(Kg) |
泄壓口面 積(㎡) |
實際用量(Kg) | 儲存容器 容積(L) |
系統儲存瓶數量 |
| 機房 | 52 | 3.6 | 187.2 | 8% | 119 | 0.07 | 120 | 90 | 2 |
3、氣體滅火自動報警及聯動控制系統施工方案
3.1 火災自動報警系統的安裝
3.1.1 管線敷設
(1)火災自動報警系統的布線,應符合現行標準《電氣裝置工程施工及驗收規范》的規定。
(2)核實導線的種類,電壓等級等參數必須滿足設計要求。
(3)在管內或線槽內的穿線,應在建筑抹灰及地工程結束后進行。在穿線前,應將管內或線槽內的積水及雜物消除干凈。
(4)不同系統、不同電壓等級、不同電流類別的線路,不應穿在同一管內或線槽的同一槽孔內。
(5)導線在管內或線槽內,不應有接頭或扭結。導線的接頭,應在接線盒內焊接或用端子連接。
(6)敷設在多塵或潮濕場所管路的管口和管子連接處,均應作密封處理。
(7)管路超過下列長度時,應在便于接線處裝設接線盒:
無彎曲時,管子長度每超過45m; 一個彎曲,管子長度每超過30m; 有2個彎曲,管子長度每超過20m; 有3個彎曲,管子長度每超過12m。
(8)管子入盒時,盒外側應套鎖母,內側應裝護口。在吊頂內敷設時,盒的內外側均套鎖母。
(9)在吊頂內敷設各類管路和線槽時,宜采用單獨的卡具吊裝或支撐物固定。
(10)線槽的直線段應每隔1.0~1.5 m設置吊點或支點,在下列部位也應設置吊點或支點:線槽接頭處,距接線盒0.2m處,線槽走向改變或轉角口處。
(11)吊裝線槽的吊桿直徑,不應小于6mm。
(12)管線經過建筑物的變形縫(包括沉降縫、伸縮縫、抗震縫等)處,應采取補償措施,導線跨越變形縫的兩側應固定,并留有適當余量。
(13)火災自動報警系統導線敷設后,應對每回路的導線用500V兆歐表測量絕緣電阻,其對地絕緣電阻值不應小于20MΩ。
3.1.2 火災探測器的安裝
(1)點型火災探測器的安裝位置,應符合下列規定:
a.探測器至墻壁、梁邊的水平距離,不應小于0.5m。
b.探測器周圍0.5m內,不應有遮擋物.
c.探測器至空調逆風口邊的水平距離,不應小于1.5m,至多孔送風頂棚孔口的水平距離,不應小于0.5m。
d.在寬度小于3m的內走道頂棚上設置探測器時,宜居中布置。感溫探測器的安裝間距,不應超過15m。探測器距端墻的距離,不應大于探測器安裝間距的一半。
e.探測器宜水平安裝,當必須傾斜安裝時,傾斜角不應大于45°。
(2)線型火災探測器和可燃氣體探測器等有特殊安裝要求有探測器,應符合現行有關標準的規定。
(3)探測器的底座應固定牢靠,其導線連接必須可靠壓接或焊接。當采用焊接時,不得使用帶腐蝕性的助焊劑。
(4)探測器的“十”線應為紅色,“一”線應為藍色,其余線應根據不同用途采用其它顏色區分。但同一工程中相同用途的導線顏色應一致。
(5)探測器底座的外接導線,應留有不小于15cm的余量,入端處應有明顯標志。
(6)探測器底座的穿線孔宜封堵,安裝完畢后的探測器底座應采取保護措施。
(7)探測器的確認燈,應面向便于人員觀察的主要入口方向。
(8)探測器應在即將調試時方可安裝,在安裝前應妥善保管,并應采取防塵、防潮、防腐蝕措施。
3.1.3緊急啟停按鈕的安裝
(1) 緊急啟停按鈕,應安裝在墻上距地面高度1.5m 處。
(2) 緊急啟停按鈕應安裝牢固,并不得傾斜,外接導線,應留有不小于10cm的余量,且在其端部應有明顯標志。
3.1.4 火災報警控制器的安裝
(1)火災報警控制器(以下簡稱控制器)在墻上安裝時,其底邊距地(樓)面高度不應小于1.5m。
(2)控制器應安裝牢固,不得傾斜。安裝在輕質墻上時,應采取加固措施。
(3)引入控制器的電纜或導線,應符合下列要求:
a.配線應整齊,避免交叉,并應固定牢靠。
b.電纜芯線或所配導線的端部,均應標明編號,并與圖紙一致,字跡清晰難退色。
c.端子板的每個接線端,接線不得超過2根。
d.電纜芯和導線,應留有不小于20cm的余量。
e.導線應綁扎成束。
f.導線引入線穿線后,在進線管處應封堵。
(4)控制器的主電源引入線,應直接與消防電源連接,嚴禁使用電源插頭,主電源應有明顯標志。
(5)控制器的接地,應牢固,并有明顯標志。
3.1.5消防控制設備的安裝
(1)消防控制設備在安裝前,應進行功能檢查,不合格者,不得安裝。
(2)消防控制設備的外接導線,當采用金屬軟管作套管時,其長度不宜大于2m,且應采用管卡固定,其固定點間距不應大于0.5m。金屬軟管與消防控制設備的接線盒(箱),應采用鎖母固定,并應根據配管規定接地。
(3)消防控制設備外接導線的端部,應有明顯標志。
(4)消防控制柜內不同電壓等級,不同電流類別的端子,應分開,并有明顯標志。
3.1.6 聲光報警、放氣指示燈安裝
聲光報警器、放氣指示燈,防護區疏散出口的門楣上方,安裝應符合設計要求,并應安裝牢固,不得傾斜。
3.2 火災自動報警系統的調試
3.2.1 一般規定
(1)火災自動報警系統的調試,應在建筑內部裝修和系統施工結束后進行。
(2)火災自動報警系統調試前應具備前面所列文件和調試必需的其它文件。
(3)調試負責人必須由有資格的專業技術人員擔任,所有參加調試人員應職責明確,并應按照調試程序工作。
(4)調試前應按設計要求查驗設備的規格、型號、數量、備器備件等,應按規范和設計的規定要求檢查系統的施工質量。檢查系統線路,對于錯線、開路、虛焊和短路等進行處理。
(5)火災自動報警系統調試,應先分別對探測器、區域報警控制器、集中報警控制器、火災報警裝置和消防控制設備等逐個進行單機通電檢查,符合要求后方可進行系統調試。
(6)火災自動報警系統通電后,應按標準《火災報警控制器通用技術條件》的有關要求對報警控制器進行下列功能檢查:
火災報警自檢功能;消音、復位功能;故障報警功能;火災優先功能;報警記憶功能;電源自動轉換和備用電源的自動充電功能;備用電源的欠壓和過壓報警功能。
(7)檢查火災自動報警系統的主電源和備用電源,在備用電源連續充放電3次后,主電源和備用電源應能自動轉換。
(8)應采用專用的檢查儀器對探測器逐個進行試驗,其功能應準確無誤。
(9)應分別用主電源和備用電源供電,檢查火災報警系統各項控制和聯動功能。
(10)火災自動報警系統應在連續運行120h無故障后,按規范附錄填寫調試報告。
3.2.2 線路測試
(1)一般性檢查
首先從外部檢查。這項工作是用眼觀察各種配線情況,對照圖紙檢查配線關系,判斷接線是否正確。
(2)線路檢驗
線路校驗前,應將被校驗回路中的探測器、編碼底座、警報器、手動報警按鈕和報警控制器等的接線端子打開。
查校回路,可用萬用表或蜂鳴器等。
檢查完火災報警系統的線路后,再核對自動滅火聯動控制盤的二次線路。
在檢查系統線路中發現的錯線、開路、虛焊和短路等應進行故障拔除。
(3)絕緣電阻測試
火災報警傳輸線路和聯動控制線路進行上述檢查后,應對其紅外線電阻進行測試。
3.2.3調試記錄
(1)系統開通調試中發現的故障應及時排除,并作好記錄。
(2)系統開通后,應正常開機運行,并作相應的記錄。
(3)做好各項資料的填寫工作,字跡端正、清晰、無空格。
(4)由甲方、施工方進行用戶驗收,填好用戶驗收記錄。
(5)對用戶進行操作和使用的現場培訓。
(6)調試結束后交付甲方使用。
(7)作好回訪工作,每查訪二次,填好回訪的質量信息返回表。
4、柜式七氟丙烷滅火裝置施工方案
4.1本系統的安裝場所應符合下列要求:
(1) 環境溫度為0℃~50℃,且干燥、通風良好;
(2) 空氣中不得含有易爆、導電塵埃及腐蝕部件的有害物質,否則必須予以保護,裝置不得受到震動和沖擊;
(3) 整個柜體必須能安裝平穩,不允許傾斜;
(4) 防護區滅火時應保持封閉條件,除泄壓口以外的開口,以及用于該防護區的通風機和通風管道中的防火閥,在噴放七氟丙烷之前,應做到關閉;
(5) 當設有外開彈性閉門器或彈簧門時,如果其開口面積不小于泄壓口計算面積,不須另設泄壓口。
(6) 安裝在防護區里的位置應選擇能避免接近熱源和太陽光直接照射的地方,并靠近墻體安裝。噴嘴的噴射方向應朝防護區。
4.2 柜式七氟丙烷裝置安裝
4.2.1將柜體放置在防護區氣體滅火設計圖紙所標識位置,建議盡量使柜體背部安裝在防護區靠墻或靠柱位置,單臺時應將噴嘴位基本對準重點保護設備,多臺時應均勻分布,并保證柜體平穩無晃動和傾斜。
4.2.2將滅火劑儲瓶搬進柜子中央,正面(噴字面)向外,并用儲瓶抱箍和七字鉤固定在柜體上,注意不要壓壞柜體。若是雙瓶組,將主動儲瓶用儲瓶抱箍固定在柜內右邊,然后在左邊固定好從動儲瓶。
4.2.3將噴嘴安裝在柜體上部噴嘴孔,噴射方向朝柜外,內部用緊固螺母固定在柜體上。
4.2.4高壓軟管帶彎頭側接頭連接在容器閥滅火劑出口螺紋上,扳手擰緊。另一側連接在噴嘴末端螺紋上,扳手擰緊。
4.2.5壓力信號器調試好后安裝在高壓軟管相應接口上,扳手擰緊。
4.2.6壓力表安裝在容器閥壓力表接口上,扳手擰緊。
4.2.7將電磁驅動器安裝在儲瓶容器閥上(應在確保調試完畢后安裝)。若是雙瓶組,將電磁驅動器安裝在主動儲瓶容器閥上,氣動驅動器安裝在從動儲瓶容器閥上。
4.2.8安裝雙瓶組啟動管路。若兩瓶組距離有偏差會導致該部件安裝不上,此時需微調兩瓶組的位置。(單瓶組無此操作)
4.2.9將壓力信號器及電磁驅動器的線路從柜體后預留穿線孔穿出,并與報警滅火控制器接通。注意使用防護套管,以免損壞線路。
4.2.10檢查各個安裝連接部位,必須保證固定牢靠,管路連接密封良好,線路連接無誤。至此,整套七氟丙烷滅火裝置安裝完畢。
4.3 系統調試
4.3.1電磁驅動器啟動試驗:拔出電磁驅動器保險銷,接通電源(DC24V),試驗電磁鐵聯動閘刀是否動作。若正常,拆除電源,閘刀及電磁驅動器保險銷應復位。
切記:調試電磁驅動器應離開瓶頭閥單獨進行。
4.3.2儲存壓力檢查:逆時針旋開壓力表后面螺母(45°~ 90°)至壓力表顯示(測壓通道打開),指針在綠區為正常。檢測完畢后,旋緊螺母(關閉測壓通道)。
4.3.3反饋信號模擬:短接壓力信號器的兩條引線模擬噴放反饋信號。
4.3.4火災自動報警滅火控制器調試:分別進行自動、手動、緊急啟動/停止。動作、聲光報警和信號等應符合GB50263-2007《氣體滅火系統施工及驗收規范》要求。
4.3.5調試合格后,將電磁驅動器小心的安裝在滅火劑容器閥上,壓力信號器安裝在高壓軟管相應接口上,與信號反饋線連接。
4.3.6待消防部門驗收合格、使用單位人員培訓到位后,才可接通電磁驅動器的啟動線路,拔掉電磁驅動器保險銷,系統開始正式運行。
4.4注意事項
4.4.1 滅火劑瓶在運輸過程中,應輕裝輕卸,防止碰撞、倒置,整個裝置應避免接近熱.源,避免太陽光直接照射。
4.4.2拆裝過程中應避免碰傷表面而影響外觀,無關人員不得亂動本裝置,以免發生意外。
4.4.3柜式系統噴射滅火劑前,所有人員必須在延時期內撤離火情現場,滅火完畢后,必須首先啟動風機,將廢氣排出后,工作人員方可進入現場。
4.4.5更換新的膜片必須由我公司供應,不得隨意用未經試驗的膜片代用。
(5) 在日常維護、保養或進行周期檢查時應嚴格按照操作程序,確保防止滅火劑誤噴。
4.5培訓
組織甲方消防值班人員進行上崗前的培訓工作,主要說明各個系統的設置位置、主要設備的工作原理、緊急情況的應對方案和主機柜的操作等常識.
4.6移交
驗收通過,培訓完畢,與甲方相關負責人進行工程的交接,主要竣工資料和工程設備的交接,請甲方簽署工程驗收交接單.
4.7系統維護保養
a. 對防護分區環境的維護保養:
* 檢查保護區必要的出入通道應通暢無阻;各種報警信號和安全標志應清潔、齊全并醒目易見;采光照明和事故照明應完好。
*檢查煙感、溫感探測器外表面應清潔、無灰塵和環境污染(例如輕質粉塵、漆等),以 保證其靈敏度;檢查噴嘴孔口應無堵塞。
b.對滅火劑貯存容器的維護保養:
每年對滅火劑貯存容器進行稱重或檢查貯存壓力,若低于允許值極限位置以下,必須予以重新灌裝或替代。
c. 對滅火控制盤的維護保養:
* 電源、指示燈的可靠程度檢查;
* 滅火控制盤的啟動試驗的工作情況是否正常。
d. 對系統的維護保養:
* 檢查電磁閥與控制閥的連接導線是否完好,端子有否松動或脫落。
* 從鋼瓶上卸下電磁閥,檢查其動作是否靈活。
* 卸下報警及控制系統與執行機構的連接裝置,用模擬試驗方法,檢查自動控制、報警及延時功能的靈敏度和動作可靠性。
* 檢查噴嘴與管道的連接有無松動、脫落
* 檢查所有鋼瓶外表有無腐蝕和鍍層脫落現象。
* 卸下壓力開關檢查其動作是否準確靈活。

